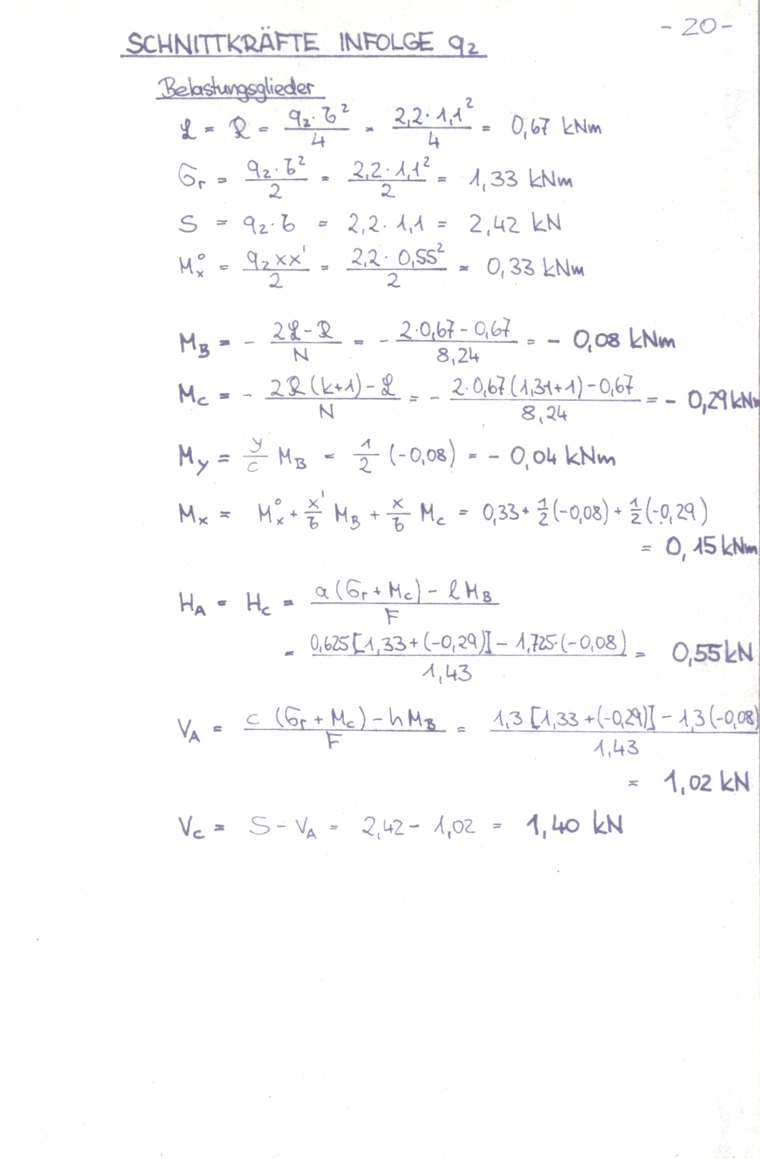
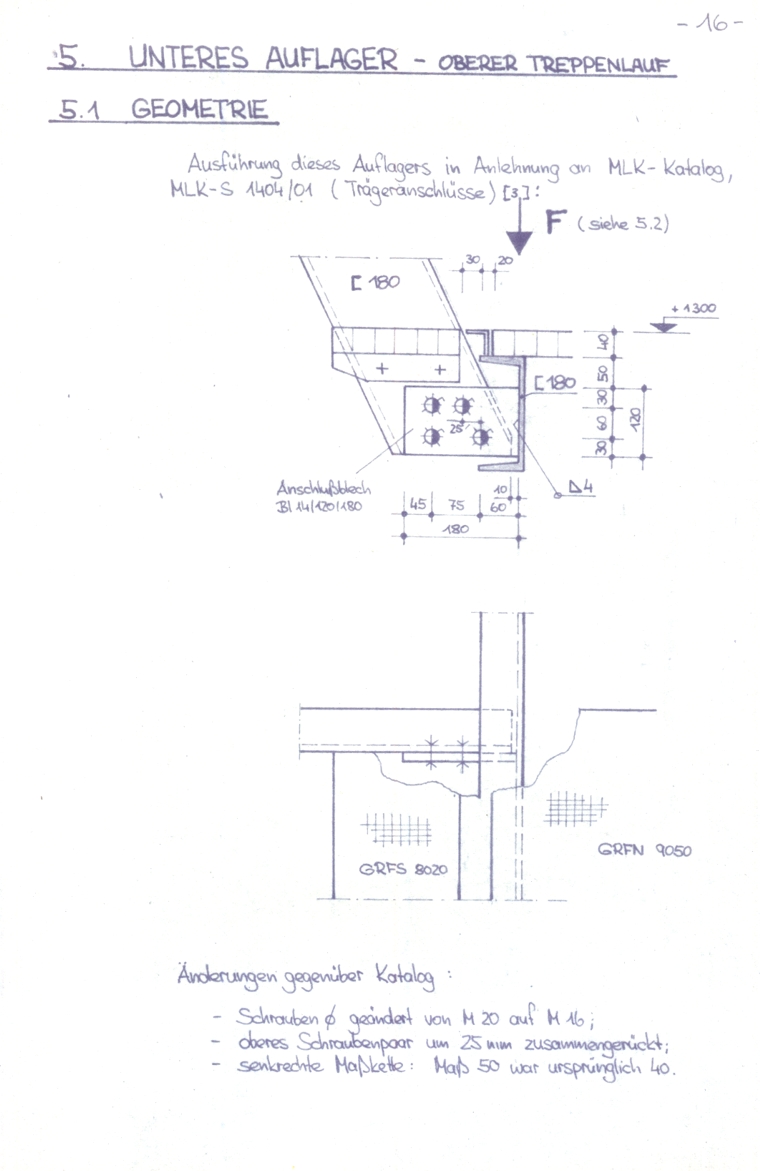
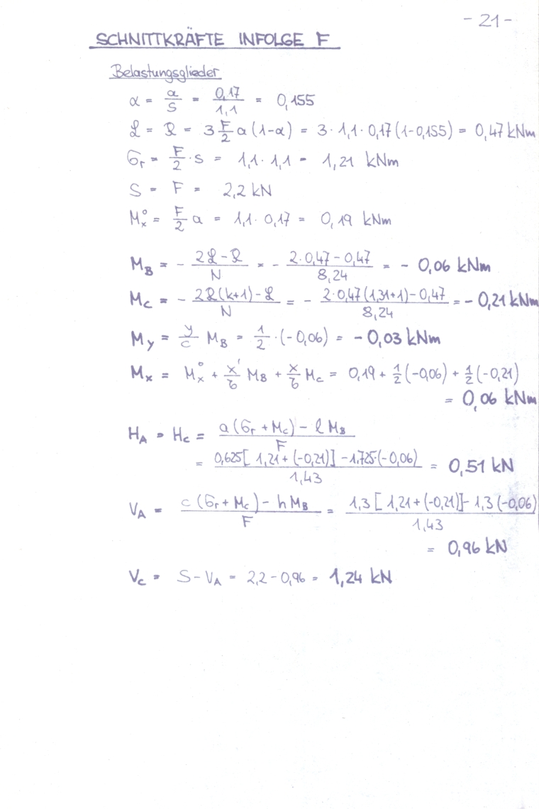
x                
           
                     
           


BAUPLANUNG    BAUBETREUUNG   
 
 

x x

statische Berechnung  Stahl-LeiterTreppe